It is always exciting to publish a paper but this one is quite interesting to me, because provides a new link between safe theories and string theory, allowing for novel and relevant physical applications for string theory.

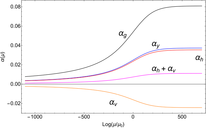
Safe theories are quantum field theories whose continuum limit is defined by a non-Gaussian ultraviolet fixed point when the ultraviolet cutoff is removed. They constitute an important set in the space of quantum field theories and were discovered in four dimensions here. The phase diagram in the interaction strength and their energy dependence is shown below.


In the newly published paper we develop the ‘safe’ gauge-string correspondence program according to which d-dimensional safe gauge theories are holographically dual to d+1 dimensional safe noncritical string theories on asymptotically anti-de Sitter space.

We provide evidences for this correspondence on a class of safe templates that engage fermion and scalar matter fields into gauge, Yukawa and Higgs self-interactions.
We further argue that four-dimensional super Yang-Mills theories and all known interacting (super)conformal field theories are nonperturbative limit situations of safe gauge theories.
Our result opens the door to many novel string theory applications for non supersymmetric theories.